Learning a Decision Tree (classification)

</div>
After one level we got this tree ?
And after adding all nodes(features) to the tree we got a Full Tree like this:
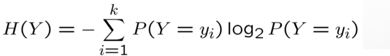
As it can be figured out, more uncertainty, more entropy!
Example of Entropy
Conditional Entropy
And here an example of conditional entropy:
And for IG of our last example we have:
. Recurse
Now we should do our iterations.
Base Case Two:
But without this idea:
So as we can see, this idea didn't come up with good results.
Using Chi-Square in growing tree
For each tree: